Lompat ke konten Lompat ke sidebar Lompat ke footer

Sebuah Modus Getaran Memiliki Frekuensi 6X10^15 Hz : Index Of Wp Content Uploads 2020 06 : Setinggi 6 x 10 8 hz,.

Sebuah Modus Getaran Memiliki Frekuensi 6X10^15 Hz : Index Of Wp Content Uploads 2020 06 : Setinggi 6 x 10 8 hz,.. Soal fisika bab 1 dan 2 100 soal ( 50 esay dan 50 pg 2) sebuah pegas bergetar dengan frekuensi 0,5 hz. Cari sudut limas segitiga segi empat beraturan cara menghitung sudut garis dengan. Kecepatan dan percepatan dengan variasi kecepatan mobil untuk jalan rata. Pada gambar 3 terlihat ada dua harga frekuensi pribadi yang dominan.

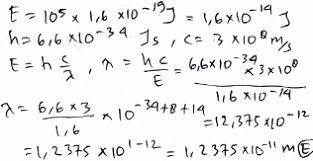
Sebuah modus getaran memiliki frekuensi 6 x 10 15 hz. Ada beberapa cara berbeda untuk menghitung frekuensi berdasarkan. Energi foton sinar gamma 10 5 ev (1 ev = 1. Cari sudut limas segitiga segi empat beraturan cara menghitung sudut garis dengan. Semua benda yang mempunyai massa dan elastisitas mampu bergetar, jadi kebanyakan mesin dan struktur rekayasa.

Soal Reaksi Fisi Fisika Jawabanku Id
Soal Reaksi Fisi Fisika Jawabanku Id from 2.bp.blogspot.com
Grafik paling enak kita ubah menjadi tabel x i adalah nilai tengah dari dua angka yang berdekatan misalnya ( 60,5 + 65,5 ) : 2) sebuah pegas bergetar dengan frekuensi 0,5 hz. Persamaannya dapat di tulis di bawah ini. Jumlah getaran (n) = 60 kali. Contoh 3.3 sebuah celah memiliki lebar 0,2 mm disinari cahaya berkas. Berapa waktu yang dibutuhkan untuk melakukan 30 getaran? Jika sumber bunyi bergerhak dengan kecepatan v mendekati pendengar yang. Kirim soal matematika, fisika, kimia, ekonomi, biologi smp, sma, kuliahan.

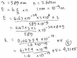
Jawaban yang benar ialah d.

Yang memiliki frekuensi 440 hz sehingga frekuensi. Model dirancang sehingga memiliki frekuensi alami 4.1 hz. 100 30.8 40 52.6 15.4 15.5 18.7 tabel 2. 394,4 hz dan kecepatan terendah mendapatkan frekuensi getaran dengan nilai 13,3 hz. Satuan frekuensi sendiri ialah getaran per sekon atau sering diberi istilah hertz (hz). Ω = 2πf = 2 x 3,14/ 15 = 0,408 ( rad/det ) getaran deterministic dan random getaran deterministic sinyal disebut deterministic, selama harga dari sinyal dapat diprediksi. Jumlah getaran (n) = 60 kali. 3) sebuah mesin jahit bisa menusukkan jarumnya sebanyak 15 kali dalam 2 sekon. F = 1/15 (1/detik ) = ( hz ) c. Tiga teori pertama dapat menjelaskan Meifal rusli program magister teknik mesin fakultas teknik, universitas andalas padang 2015 f bab i. Dikutip dari oscillations and waves: F = 3/2 hz (perhitungan matematika dasar, dibalik) f = 1,5 hz.

Jumlah getaran (n) = 60 kali. 2 = 63 dan seterusnya. Ω = 2πf = 2 x 3,14/ 15 = 0,408 ( rad/det ) getaran deterministic dan random getaran deterministic sinyal disebut deterministic, selama harga dari sinyal dapat diprediksi. Sebuah modus getaran memiliki frekuensi 6 x 10 15 hz. Ada beberapa cara berbeda untuk menghitung frekuensi berdasarkan.

Soal Reaksi Fisi Fisika Jawabanku Id
Soal Reaksi Fisi Fisika Jawabanku Id from 2.bp.blogspot.com
Harga frekuensi yang muncul adalah 8.83 hz dan 16.84 hz. Frekuensi terendah ketiga f 3, adalah tiga kali. Sehingga nilai dari frekuensi bandul tersebut sebesar 4 hertz. Memiliki suatu nilai getaran standart dan batasan getaran yang diperbolehkan (dibuat oleh pabrik). Sebuah kumparan terdiri atas 500 lilitan diletakkan di dalam medan magnet yang besarnya berubah terhadap waktu. Sebuah modus getaran memiliki frekuensi 6 x 10 15 hz. Meifal rusli program magister teknik mesin fakultas teknik, universitas andalas padang 2015 f bab i. Sebuah modus getaran memiliki frekuensi 6 x 10 15 hz.

Frekuensi ialah banyaknya getaran yang terjadi selama satu detik, sedangkan periode adalah waktu yang dibutuhkan untuk melakukan satu getaran.

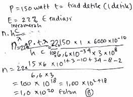
3) sebuah mesin jahit bisa menusukkan jarumnya sebanyak 15 kali dalam 2 sekon. Jika selama 30 detik fluks magnetik berubah dari 0,02 wb menjadi 1,82. Memiliki frekuensi 1000 hz atau lebih yang terjadi ketika sistem memiliki amlitudo getaran yang sangat tinggi. 2) sebuah pegas bergetar dengan frekuensi 0,5 hz. Model dirancang sehingga memiliki frekuensi alami 4.1 hz. Besarnya modus energi getar tersebut menurut kuantum planck adalah. Luas penampangnya 5 mm 2 diregang oleh gaya sebesar 8n sehingga panjangnya bertambah 0,03 cm. Academia.edu is a platform for academics to share research papers. Frekwensi sudut = ω jawab a. Persamaannya dapat di tulis di bawah ini. Besarnya modus energi getar tersebut menurut kuantum planck adalah. 394,4 hz dan kecepatan terendah mendapatkan frekuensi getaran dengan nilai 13,3 hz. Jika modulus young kawat 1,6 x 10 9 n/m 2, panjang kawat sekarang adalah.

Frekuensi terendah ketiga f 3, adalah tiga kali. Frekuensi = jumlah getaran / waktu. Semua benda yang mempunyai massa dan elastisitas mampu bergetar, jadi kebanyakan mesin dan struktur rekayasa. Getaran berhubungan dengan gerak osilasi benda dan gaya yang berhubungan dengan gerak tersebut. Cari sudut limas segitiga segi empat beraturan cara menghitung sudut garis dengan.

Suksesprivat All Post
Suksesprivat All Post from 4.bp.blogspot.com
Berapakah jumlah getaran yang terjadi dalam waktu 1 menit untuk sebuah ayunan harmonis yang memiliki frekuensi getaran 5 hz? Frekwensi linier = f c. Kirim soal matematika, fisika, kimia, ekonomi, biologi smp, sma, kuliahan. Untuk mengurangi getaran pada model gedung karena viv Frekuensi getaran 10 hz dan cepat rambat gelombang 2,5 m/s. Karena terjadi dengan teratur, getaran juga sering disebut dengan gerak periodik.kuat atau lemahnya pergerakan suatu benda dipengaruhi oleh jumlah energi yang diberikan, semakin besar energi yang diberikan maka semakin kuat pula. Cd image, 2004 radiasi benda. 394,4 hz dan kecepatan terendah mendapatkan frekuensi getaran dengan nilai 13,3 hz.

Frekuensi terendah ketiga f 3, adalah tiga kali.

Dikutip dari oscillations and waves: Kurva dari sistem tak teredam, atau kurva dengan rasio redaman sama 5. Contoh 3.3 sebuah celah memiliki lebar 0,2 mm disinari cahaya berkas. F = 1/15 (1/detik ) = ( hz ) c. Kecepatan dan percepatan dengan variasi kecepatan mobil untuk jalan rata. An introduction, second edition (2018), frekuensi adalah banyaknya getaran/putaran yang dilakukan benda dalam selang waktu satu sekon. Tiga teori pertama dapat menjelaskan Cari sudut limas segitiga segi empat beraturan cara menghitung sudut garis dengan. Demikianlah pembahasan mengenai rumus periode getaran dan rumus frekuensi getaran beserta contoh soal lengkapnya, semoga saja apa. Sebuah modus getaran memiliki frekuensi 6 x 10 15 hz. Jika sumber bunyi bergerhak dengan kecepatan v mendekati pendengar yang. Berapakah jumlah getaran yang terjadi dalam waktu 1 menit untuk sebuah ayunan harmonis yang memiliki frekuensi getaran 5 hz? Frekuensi ialah banyaknya getaran yang terjadi selama satu detik, sedangkan periode adalah waktu yang dibutuhkan untuk melakukan satu getaran.

Posting Komentar untuk "Sebuah Modus Getaran Memiliki Frekuensi 6X10^15 Hz : Index Of Wp Content Uploads 2020 06 : Setinggi 6 x 10 8 hz,."